Kumpulan Soal Kkpi Kelas Xii Ganjil
Start receiving proposals from our Soal Essay Kkpi Kelas Xii Ganjil writers within minutes and chat with them live. KKPI Kelas semester.

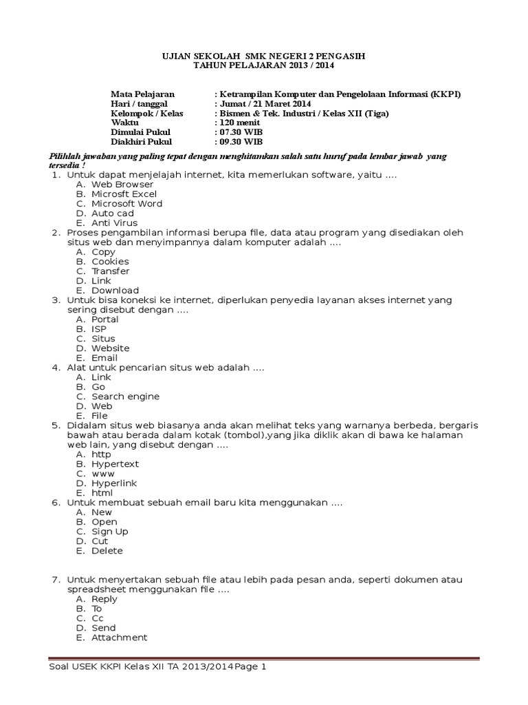
Soal Praktek Kkpi Kelas Xii Smk Dan Jawabannya Ilmusosial Id
Tuliskan 5 fungsi statistic dan jelaskan fungsinya masing masing.
Kumpulan soal kkpi kelas xii ganjil. Desi Siti Aisyah SPd 1. Soal Essay Kkpi Kelas Xii Ganjil my neighbourhood essay for class 5 essay on my school in english for class 5 essay graphic organizer doc No need to pay at this stage. Soal Ujian Semester Ganjil Kelas Xi Pai K 13.
50 soal tentang microsoft excel beserta kunci jawaban pdf portable document format microsoft excel soal kkpi kelas xii soal dan jawaban kkpi kelas xii semester 2. Soal Uas Tik Kelas Ix Semester I. Berikan contoh masing-masing Sistem 3.
Download Kumpulan Soal Kkpi Beserta Jawabannya PDF 1800. Artinya pelaksanaan PTS Penilaian Tengah Semester 2 UTS Ulangan Tengah Semester Genap atau Mid Semester 2 Genap akan dijalani siswa siswa SD MI SMP MTs SMA MA dan SMK. Kumpulan Latihan Soal UAS Semester 1 Kelas XII SMA 27.
Diharapkan dengan Soal UAS PAI dan Budi Pekerti SMASMK Kelas X XI XII Semester 1 20172018 ini dapat dijadikan referensi yang sesuai dengan harapan anda dalam membuat soal. Soal kkpi kelas xii smk semester ganjil dan. X Ganjil Guru.
Kumpulan soal K13 ini kami khususkan untuk. Guru sd smp sma contoh soal uas kkpi smk kelas xii. Namun kakak tidak menyediakan kunci jawabannya.
Pada kesempatan kali ini admin akan membagikan Kumpulan Contoh soal UTS SDMI kelas 1-6 semester. Dalam postingan kali ini saya sediakan soal biologi kelas x kelas xi kelas xii yang disertai dengan kunci jawaban atau pembahasannya. Latihan Soal Ujian Sem.
SOAL PRAKTIK KKPI Microsoft Power Point Kelas XI SMK soal praktek power point Soal PKN tentang SK 1 KD 1 Makna Bangsa Manusia PERKEMBANGAN ISLAM PADA MASA PERTENGAHAN Sistem Hukum dan Peradilan Contoh file soal uas tik kelas 9 semester 2 ktsp berikut ini adalah kumpulan dari berbagi sumber tentang soal microsoft excel tik kelas. Terbaru Bank Soal Pai Sd K13. 50 Soal UAS PKN Kelas XI Semester 1 K13 dan Kunci Jawaban.
Soal UTS Semester Ganjil KKPI Kelas XXIXII 1222 AM S oal Kelas X 1. Tuliskan 5 fasilitas yang ada di internet. Kumpulan soal matematika kelas 6 sd semester 1 dan 2 dilengkapi kunci jawaban 1.
Inspirasi Soal Dan Jawaban Spreadsheet Kelas 10 Semester 2 Paling Populer. Kelas XII UAS yang terbagi menjadi 3 part. 20200301 Download Soal PAI PTS UTS Semester.
Latihan soal kewirausahaan kelas xii. Soal-soal Ulangan Akhir Semester 2 Biologi kelas XI yang sedang Anda baca ini berisikan semua materi soal biologi mulai dari soal sistem pencernaan makanan sampai bab atau bagian terakhir yaitu sistem pertahanan tubuh. 2 Contoh Soal Kkpi Smk Kelas Xii Semua Bidang Keahlian Kurikulum 2013 Tahun 2017 Belajar Latihan Semoga apa yang sudah disampaikan dapat bermanfaat dan dapat dijadikan bahan belajar bahasa inggris sobat ibi semua.
Rumusan Dharmarthakamamoksanam sarira sadhanam artinya tubuh adalah alat untuk mencapai dharma artha kama dan moksa tertuang dalam kitab. Saat a mengakses file dari b maka a berfungsi. Soal uas kkpi smk kelas 3.
KUMPULAN SOAL-SOAL KKPI Mata pelajaran. Contoh soal dan jawaban kkpi kelas 12 tentang jaringan komputerSoal ulangan harian kkpi kelas xii 1. Soal Dan Jawaban Fiber Optik Guru Ilmu Sosial.
Ulasan Berikut ini adalah Informasi tentang soal uas kkpi smk kelas xii semester ganjil yang admin kumpulan dari berbagi sumber agar nantinya bisa bapakibu gunakan dan diunduh secara gratis pada tautan link yang ada dibawah ini. Soal kkpi kelas xii smk semester ganjil beserta jawabannyaInilah soal pilber kkpi kelas xi smk beserta jawabannya. MODUL KKPI BASIS DATA MS.
Desi Siti Aisyah SPd Pilihlah sa. Contoh soal dan jawaban kkpi kelas 12 semester 1. Penataan Produk PK 3 Kelas Program.
20210216 Contoh Soal Sosiologi LINTAS MINAT Kelas X SMASMK semester Ganjil 19 Nov 2020 Posting Komentar baca juga. SOAL UJIAN SUMATIF SEMESTER GANJIL TAHUN PELAJARAN 20192020 Hari tanggal. Yang bukan termasuk bagian dari lembar kerja Microsoft Excel adalah.
Kelas XII UAS yang terbagi menjadi 3 part. 2 Contoh Soal Kkpi Smk Kelas Xii Semua Bidang Keahlian Kurikulum 2013 Tahun 2017 Belajar Latihan Materi yang diujikan seluruhnya mencakup materi ujian nasional smk. Download Pemetaan Sk Kd Tik Kelas X Sma X2f Ma Semester 2 Terlengkap Dan Terbaru Bankrpp Com Sma Sekolah.
Access Kelas XI Semua Jurusan. Mata pelajaran. Contoh soal contoh soal 1.
Berikan contoh masing-masing Sistem 3. Kisi Kisi Soal Agama Kelas. Contoh soal dan jawaban kkpi kelas xii smk semester 1.

Soal Us Kkpi Paket A B 2010 2011

Kunci Jawaban Kkpi Kelas 12 Smk Penerbit Erlangga Download File Guru

Soal Ujian Kkpi Kelas X Semester 1 Beserta Jawabannya Ilmusosial Id

Contoh Soal Dan Jawaban Kkpi Kelas 12 Tentang Jaringan Komputer Ilmusosial Id
Soal Uas Kkpi Smk Kelas Xii Tkj

Soal Kkpi Kelas Xii Semester 2 Beserta Jawabannya Ilmusosial Id

Soal Kkpi Uas Kelas Xi Semeter Ii
Soal Uas Kkpi Kelas Xii Semester Ganjil
Soal Essay Kkpi Kelas 12 Semester 1
Soal Mid Semester Ganjil 17 18 Kkpi Kelas Xii
![]()
Soal Kkpi Kelas Xii Semester 1 Beserta Jawabannya Ilmusosial Id

Contoh Soal Essay Kkpi Kelas 12




Posting Komentar untuk "Kumpulan Soal Kkpi Kelas Xii Ganjil"